Создать аккаунт
Главные новости » Наука и технологии » Исследователи сверхпроводимости разгадали тайну дуг Ферми

Исследователи сверхпроводимости разгадали тайну дуг Ферми

0

Фото из открытых источников
Высокотемпературная сверхпроводимость — одна из величайших загадок современной физики: некоторые материалы проводят электрический ток без всякого сопротивления, но только при очень низких температурах. Нахождение материала, который остается сверхпроводящим даже при комнатной температуре, вызвало бы технологическую революцию. Поэтому люди во всем мире работают над лучшим, более всесторонним пониманием таких материалов.
 
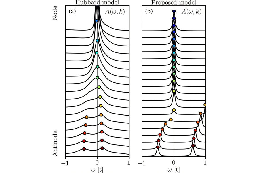
Важный шаг был сделан в TU Wien (Вена). Особенно интересный класс высокотемпературных сверхпроводников , известных как купраты, демонстрирует весьма удивительный эффект. При определенных условиях электроны в этих материалах могут двигаться только в определенных направлениях. Разрешенные направления можно визуализировать в виде кривых, известных как дуги Ферми.
 
Эти дуги можно визуализировать с помощью лазерного света, который специально выбивает электроны из материала. Группа из Института физики твердого тела Технического университета Вены теперь преуспела в разработке теоретических и численных моделей, объясняющих этот эффект. Он вызван магнитными взаимодействиями между электронами разных атомов.
 
Объяснения сверхпроводимости существуют уже давно — Нобелевская премия была присуждена еще в 1972 году за так называемую «теорию БКШ», которую можно использовать для математического описания сверхпроводимости в металлах.
 
Однако эта теория терпит неудачу, когда дело доходит до особенно интересных материалов, которые допускают сверхпроводимость даже при сравнительно высоких температурах (хотя все еще довольно низких по человеческим меркам). К таким материалам относятся купраты — медьсодержащие соединения, которые сегодня являются одними из самых исследованных сверхпроводящих материалов.
 
«Глядя на эти материалы, мы сталкиваемся с целой серией необъяснимых явлений, которые часто тесно связаны», — сказал Алессандро Тоски, который координировал исследовательский проект вместе с Карстеном Хельдом. Одним из таких явлений являются «дуги Ферми». 
 
Можно добавить дополнительные электроны к высокотемпературным сверхпроводникам, а затем измерить, как эти электроны движутся в материале, или, говоря с точки зрения квантовой физики, какие квантовые состояния могут принимать эти электроны.
 
Во время таких измерений исследователи столкнулись с сюрпризом. «Материал допускает только определенные направления импульса», — говорит Маттиас Райтнер (TU Wien). «Это означает, что электроны могут двигаться только в определенных направлениях».
 
Разрешенные квантово-физически состояния лежат на кривой (дуге Ферми), которая резко обрывается в определенных точках — крайне нетипичное поведение, которое невозможно объяснить с помощью традиционных теоретических моделей.
 
Однако команда TU Wien — Пол Ворм, Маттиас Рейтнер, Карстен Хельд и Алессандро Тоски — теперь преуспела в теоретическом объяснении этого удивительного поведения. Они разработали сложные компьютерные симуляции, а также аналитическую модель, которая описывает явление с помощью простой формулы. Исследование опубликовано в журнале Physical Review Letters.
 
«Ключом к эффекту является антиферромагнитное взаимодействие», — говорит Райтнер. Антиферромагнетизм означает, что магнитное направление атома предпочтительно ориентировано в противоположном направлении по отношению к соседнему атому.
 
«В купратах, которые мы смоделировали, это антиферромагнитное взаимодействие с большим радиусом действия», — говорит Райтнер. «Поэтому магнитные моменты электронов на разных атомах выстраиваются на больших расстояниях таким образом, что магнитная ориентация электронов всегда чередуется между одним направлением и другим — подобно шахматной доске, где каждое поле окрашено иначе, чем его непосредственные соседи».
 
Исследовательской группе удалось показать, что эта магнитная картина впоследствии приводит к странному поведению электронов, зависящему от направления.
 
«Впервые нам удалось представить теоретическую модель резкого прекращения дуг Ферми и объяснить, почему движение электронов в таких материалах возможно только в определенных направлениях», — говорит Ворм. «Это достижение не только помогает нам лучше понять некоторые неразгаданные тайны высокотемпературных сверхпроводников, но и может способствовать будущим исследованиям материалов с аналогичными нетрадиционными свойствами».
0 комментариев
Обсудим?
Смотрите также:
Продолжая просматривать сайт katerworld.ru вы принимаете политику конфидициальности.
ОК